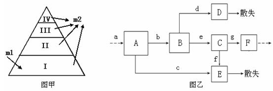
下图甲为某湖泊生态系统的能量金字塔简图,其中I、Ⅱ、Ⅲ、Ⅳ分别代表不同的营养级,m1、m2代表不同的能量形式。图乙表示能量流经该生态系统某一营养级的变化示意图,其中a~g表示能量值的多少。请据图作答:

(1)图甲中,m1、m2表示的能量形式分别为               、                  。通常情况下,位于营养级Ⅳ的生物个体数量一般远远少于Ⅲ,主要原因是           。
(2)图乙中,若A表示图1中营养级II所摄入的全部能量,则B表示                ,C表示                  。若图甲中营养级I所固定的太阳能总量为y,由营养级I、Ⅱ间的能量传递效率是            (用图中所给字母的表达式表示)。
(3)由图乙可以总结出生态系统能量流动的主要特点是                      。
(4)若图甲中营养级Ⅰ、Ⅱ、Ⅲ各有一种生物甲、乙、
丙,构成食物关系如右下图。其中,甲能量中比
例为x的部分直接提供给丙,则要使丙能量增加
AkJ,至少需要消耗甲的能量              kJ
(用所给字母的表达式表示)。
推荐试卷